Química

Contenido

Compuestos orgánicos e inorgánicos

Química orgánica


La química orgánica o química del carbono es la rama de la química que centra sus intereses en el estudio de las sustancias y compuestos orgánicos, es decir, aquellos que tienen como base combinatoria el carbono y el hidrógeno, aunque también pueden tener oxígeno, azufre, nitrógeno, fósforo y halógenos.


Los elementos químicos que componen los compuestos orgánicos se consideran esenciales para la vida.


La química orgánica se interesa por la estructura, el comportamiento, las propiedades, los usos y el origen de este tipo de compuestos químicos, fundamentales no solo para nuestra comprensión de la vida y de los procesos que la sostienen sino también para la mayoría de los procesos energéticos e industriales que la humanidad ha desarrollado a lo largo de los siglos.


Los químicos modernos consideran elementos orgánicos a los que más usualmente aparecen en este tipo de compuestos, como son el carbono (C), el hidrógeno (H), el azufre (S), el oxígeno (O), el nitrógeno (N) y todos los halógenos. Esto no significa que en las sustancias orgánicas no tengan presencia otros elementos orgánicos y no orgánicos.


En líneas generales, los compuestos orgánicos son malos conductores del calor y la electricidad, algunos son solubles en solventes apolares, y otros en agua, y son combustibles.


Clasificación de compuestos orgánicos


Los compuestos orgánicos se pueden clasificar en:


Hidrocarburos alifáticos


Son hidrocarburos simples no aromáticos, es decir, que tienen una estructura en forma de cadena lineal o cíclica, pero sin alternar enlaces dobles y simples entre sus átomos de carbono.


Hidrocarburos aromáticos


Son compuestos orgánicos cíclicos y estables, que tienen enlaces carbono - carbono dobles y simples alternados en su estructura.


Heterocíclicos


Son compuestos orgánicos en cuya estructura cíclica uno o más de sus átomos de carbono ha sido sustituido por átomos de otros elementos, como el nitrógeno, el azufre o el oxígeno.


Organometálicos


Son compuestos orgánicos cuyos átomos de carbono se unen covalentemente a un átomo metálico.


Polímeros


Son grandes cadenas macromoleculares constituidas por unidades menores (monómeros) y unidas entre sí por enlaces covalentes.



Algunos otros ejemplos de compuestos orgánicos


  • El benceno (C6H6).
  • La glucosa (C6H12O6).
  • El ácido láctico (C3H6O3).
  • El diesel.
  • La grasa animal.

  • Hidrocarburos


    Los hidrocarburos son diversos tipos de compuestos orgánicos. Pueden tener una mayor o menor complejidad, pero siempre están conformados por un esqueleto de átomos de carbono (C) y de hidrógeno (H), así como de otros eventuales elementos.


    Cada hidrocarburo presenta sus patrones estructurales, ya que su configuración específica determina sus propiedades físicas y químicas, así como el nombre de la sustancia de la que se trata. El petróleo, el gas natural y el carbón son las principales fuentes de hidrocarburos.


    La mayoría de los hidrocarburos están en el interior de la Tierra, sepultados debajo de capas y capas de roca y de suelo. Son producto de la descomposición anaeróbica, bajo condiciones muy puntuales, de grandes cantidades de materia orgánica, que en épocas antiguas constituyó el cuerpo de distintos seres vivientes.


    Los hidrocarburos están presentes también en el cuerpo de distintos seres vivos, bajo formas específicas como la goma que generan los árboles de caucho, o un conjunto de pigmentos llamados carotenos, que tienen algunos vegetales. Además, pueden sintetizarse en un laboratorio, contando con la materia prima adecuada.


    Dado su enorme potencial químico y energético, los hidrocarburos forman parte indispensable de diversas industrias, entre ellas, en la obtención de energía eléctrica.


    Entre ellos podemos encontrar:

  • Saturados. Alcanos y parafinas.
  • Insaturados con doble enlace. Alquenos, olefinas o etilénicos.
  • Insaturados con triple enlace. Alquinos o acetilénicos.
  • Cicloalcanos o naftenos.
  • Aromáticos o bencénicos.

  • Química inorgánica


    La química inorgánica es la rama de la química que estudia la síntesis, reactividad, composición y estructura de toda la materia que no posee enlaces carbono-hidrógeno.


    Si bien es cierto que una parte de la inorgánica muy cercana a la química orgánica si estudia compuestos que presentan este tipo de enlaces, la química organometálica.


    Algunos de los compuestos inorgánicos están presentes en nuestra vida diaria, desde productos de limpieza como amoníaco (NH3) o lejía o incluso aditivos alimentarios como ácido ortofosfórico.


    Además la mayor parte de los contaminantes atmosféricos son de carácter inorgánico.


    Los compuestos inorgánicos se utilizan como catalizadores, pigmentos, revestimientos, surfactantes, medicamentos, combustibles y otros. A menudo tienen altos puntos de fusión y propiedades específicas de alta o baja conductividad eléctrica, lo que los hace útiles para fines específicos.


    Para más información, haga clic sobre los siguientes enlaces:

    //n9.cl/v2dow
    //n9.cl/6s0vn
    //n9.cl/n5c9f
    //n9.cl/bfs11

    El carbono

    El carbono es un elemento fácil de encontrar en tu vida cotidiana. Por ejemplo, si has usado un lápiz, has visto el carbono en su forma de grafito. De igual manera, los trozos de carbón para tu parrillada están hechos de carbono e incluso los diamantes en un anillo o un collar son una forma de carbono (que en este caso, ha sido expuesto a altas presiones y temperaturas). Lo que podrías no saber es que alrededor del 18% de tu cuerpo (en masa) también está hecho de carbono. De hecho, los átomos de carbono forman el esqueleto de muchas moléculas importantes en tu cuerpo, incluyendo las proteínas, el ADN y el ARN, los azúcares y las grasas.


    El carbono es un elemento fácil de encontrar en tu vida cotidiana. Por ejemplo, si has usado un lápiz, has visto el carbono en su forma de grafito. De igual manera, los trozos de carbón para tu parrillada están hechos de carbono e incluso los diamantes en un anillo o un collar son una forma de carbono (que en este caso, ha sido expuesto a altas presiones y temperaturas). Lo que podrías no saber es que alrededor del 18% de tu cuerpo (en masa) también está hecho de carbono. De hecho, los átomos de carbono forman el esqueleto de muchas moléculas importantes en tu cuerpo, incluyendo las proteínas, el ADN y el ARN, los azúcares y las grasas.


    Características del carbono


  • El carbono en la tabla periódica se encuentra entre los carbonoideos, con número atómico 6, masa atómica 12,01 y se le representa con el símbolo C.
  • Es un elemento no metálico y es un buen conductor de la electricidad cuando se encuentra en forma de grafito.
  • En términos generales, el carbono no es una sustancia de alta toxicidad. En la mayoría de sus formas físicas es seguro para el manejo del hombre. Sin embargo, muchos de los compuestos orgánicos e inorgánicos a base de carbono pueden ser tóxicos e incluso letales para el ser humano. Los hidrocarburos, por ejemplo, pueden tener un efecto devastador en el aparato respiratorio, tanto como el carbón (son numerosos los casos de deterioro de la salud en obreros de minas de carbón y en obreros de estaciones de explotación de hidrocarburos).
  • El dióxido y monóxido de carbono (CO2 y CO) son sustancias letales si se las inhala en grandes dosis, pues impiden la correcta oxigenación del organismo. El isótopo carbono-14, al ser radiactivo, representa un riesgo de contaminación en alguna medida. El cianuro (CN-), uno de los venenos más letales y populares, se forma con átomos de carbono y nitrógeno.
  • Es posible hallar trazas de carbono y de hidrocarburos en planetas distantes, como los gigantes gaseosos del Sistema Solar, sin que ello apunte a ningún tipo de constitución de vida orgánica, que sepamos.

  • Formas del carbono (halótropos)


    Si bien a temperatura ambiente el carbono es sólido, cuando forma grafito puede sublimarse al pasar los 3600 °C de temperatura y pasar a estado gaseoso. En la naturaleza, sin embargo, se presenta en seis formas distintas o alótropos (propiedad de presentar distintas estructuras moleculares o atómicas):


  • Carbono amorfo: Como el hollín o la mayoría de los carbones, el elemento puro aparece sin una estructura determinada.
  • Grafito: Negro, opaco y blando, el grafito tiene la propiedad de manchar, por lo que se usa como relleno de los lápices de madera.
  • Diamante: El diamante y el grafito contienen los mismos átomos de carbono pero en una estructura distinta, así que tienen propiedades también diferentes. El diamante es una piedra preciosa transparente y tremendamente dura.
  • Fulerenos: Descubiertos a mediados de los años 80, se trata de 60 átomos de carbono estructurados ya no hexagonalmente, como acostumbra, sino heptagonal o pentagonalmente. Eso le confiere apariencia esférica, como un balón de fútbol.
  • Nanotubos: Uno de los primeros productos de la industria nanotecnológica, no es más que láminas de grafito enrolladas cilíndricamente y rematadas en sus extremos por hemiesferas de carbono.
  • Carbinos: Uno de los productos industriales más potentes de las últimas décadas, consiste en un átomo de carbono hecho univalente y eléctricamente neutro, que es la sustancia más resistente jamás conocida.


  • Propiedades de enlace del carbono


    Por un lado, los enlaces carbono-carbono son inusualmente fuertes, por lo que el carbono puede formar un esqueleto estable y resistente para una molécula grande. Sin embargo, tal vez lo más importante es su capacidad de formar enlaces covalentes. Dado que un átomo de C puede formar enlaces covalentes hasta con otros cuatro átomos, es bastante adecuado para formar el esqueleto básico de una macromolécula.


    La capacidad del carbono para formar enlaces con otros cuatro electrones se debe a su número y configuración de electrones. El carbono tiene un número atómico de seis (esto es, seis protones y seis electrones en un átomo neutro), así que los primeros dos electrones llenan la capa interna y los cuatro restantes se quedan en la segunda capa, que es la capa de valencia (la más externa). Para lograr la estabilidad, el carbono debe encontrar cuatro electrones más para llenar su capa externa, para un total de ocho que cumple con la regla del octeto. Los átomos de carbono pueden entonces formar enlaces con otros cuatro átomos. Por ejemplo, en el metano (CH4), el carbono forma enlaces covalentes con cuatro átomos de hidrógeno. Cada enlace corresponde a un par de electrones compartidos (uno del carbono y otro del hidrógeno), lo que le da al carbono los ocho electrones que necesita para llenar su capa externa.


    Ciclo del carbono


    Se conoce como ciclo del carbono a la retroalimentación existente entre los organismos vegetales, animales y descomponedores. La respiración animal y la descomposición de ciertos hongos liberan cantidades de CO2 a la atmósfera.


    Este CO2 es aprovechado, junto con agua y luz solar, por la fotosíntesis de las plantas, cuyo producto inmediato es el oxígeno y nueva materia orgánica (frutos, hojas, cortezas, animales muertos) que luego se descompone. Y el ciclo empieza de nuevo, sosteniendo la vida en su girar.


    Para más información, haga clic sobre los siguientes enlaces:

    //n9.cl/qp1fo
    //n9.cl/6bd43
    //n9.cl/aucjr
    //n9.cl/tqmnw

    Nomenclatura de alcanos, alquenos y alquinos

    Los alcanos, alquenos y alquinos poseen enlaces carbono – carbono simples, dobles o triples.


    Se nombran como hidrocarburos alifáticos (alcanos, alquenos y alquinos) ya que están formados por átomos de H y C que no poseen cualidades aromáticas.


    Tipos de cadenas carbonadas


    Una de las propiedades fundamentales del átomo de carbono es su capacidad de unirse con otros átomos de carbono. Las cadenas carbonadas, no son más que múltiples enlaces C – C.


  • Cuando los enlaces entre los átomos de carbono son sencillos (C – C) el compuesto es un alcano.
  • Cuando las cadenas carbonadas poseen un doble enlace C = C, el compuesto es un alqueno.
  • Cuando las cadenas carbonadas poseen un triple enlace C ≡ C, el compuesto formado es un alquino.

  • En base a ello, las cadenas formadas por los átomos de carbono enlazados entre sí con otro átomo pueden ser: abiertas y cerradas.


    Cadenas abiertas, acíclicas o alifáticas


    Son aquellas cadenas que se forman cuando los átomos de carbono están en línea recta y cuentan o no con algunas ramificaciones. Pueden estar presentes enlaces sencillos, dobles o triples.

    2-metilbutano

    (cadena lineal ramificada)

    Cadenas cerradas o cíclicas


    La cadena carbonada se cierra formando ciclos o anillos. En dichas conformaciones puede haber enlaces sencillos, dobles o triples:

  • Isocíclicas: La estructura sólo posee átomos de carbono. Entre ellas:

  • Heterocíclicas


    La cadena carbonada cerrada posee átomos diferentes al carbono.


    ¿Qué son los alcanos?


    También se conocen con el nombre de hidrocarburos saturados o parafinas. La denominación de “saturados” se debe a que poseen la máxima cantidad de hidrógenos que una cadena carbonada puede permitir.


    Son la familia de moléculas orgánicas más sencillas.


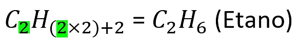
    Su fórmula general es CnH2n+2 Cn​H2n+2 ​ donde el número entero (nn) representa el número de átomos de carbono. Ejemplo:



    Los enlaces C − C y C − H en los alcanos se conocen como enlaces sigma (σ), los cuales son de origen covalente de gran estabilidad que le brindan una alta firmeza a la molécula.


    Por ello, son llamados parafinas, ya que poseen poca actividad química. A veces se les denomina hidrocarburos alifáticos, un nombre griego que deriva de la palabra aleiphas “grasa”, ya que diversas grasas animales contienen largas cadenas carbonadas semejantes a los alcanos.


    El metano es la representación más sencilla de un alcano, es decir, la forma más simple en la que pueden combinarse los C y los H.


    Los alcanos cíclicos o cicloalcanos se encuentran comúnmente en las proteínas, lípidos, carbohidratos y ácidos nucleicos, es decir, son constituyentes esenciales de las biomoléculas.


    Por ejemplo, el ciclopentano forma parte de la estructura de la prostaglandina, una hormona de gran importancia en diversas funciones fisiológicas.


    Nomenclatura de alcanos según la IUPAC


    Antes de estudiar la nomenclatura de alcanos hablemos de los radicales alquilo, los cuales son importantes para nombrar las ramificaciones de los hidrocarburos.


    Radicales alquilo o grupos alquilo


    Son radicales que se obtienen al eliminar un átomo de hidrógeno de un alcano. Se representan por −R y se nombran cambiando la terminación −ano por −il o −ilo.




    Otros radicales alquílicos de importancia son:

    Nomenclatura de alcanos lineales


    Recordemos, la principal característica de los alcanos es que solo poseen enlaces simples en su cadena carbonada, por dicha razón se conocen como hidrocarburos saturados.


    El sufijo −ano es el representante de este grupo funcional.


    Los primeros 4 integrantes de los alcanos se identifican por los siguientes nombres:



    Observa que la diferencia entre cada uno de ellos es un −CH2​ y así sucederá con los alcanos de cadenas carbonadas más extensas.


    Los alcanos que siguen luego del butano se nombran señalando el número de átomos de carbono presentes utilizando los prefijos griegos -penta, -hexa, -hepta y así sucesivamente sin la “a” final, ya que se sustituye por el sufijo -ano que identifica al grupo funcional.


    Lo importante es conocer el número de carbonos del compuesto, elegir la numeración griega correspondiente y colocar el sufijo −ano.


    Por ejemplo: Si te piden que escribas la fórmula semidesarrollada de un hexano, ya el nombre te dice que posee 6 C y el sufijo −ano indica que es un alcano, por lo tanto, la fórmula semidesarrollada será:


    CH3​−CH2​−CH2​−CH2​−CH2​−CH3 ​​

    o

    CH3​−(CH2​)4​−CH3

    El subíndice 4 junto al (CH2​) indica que la cadena posee 4 CH2.


    Nomenclatura de alcanos ramificados


    Si el hidrocarburo saturado posee ramificaciones se deben seguir los siguientes pasos:


  • Encontrar la cadena carbonada principal, es decir, la cadena continúa de átomos de carbono más larga (cadena base).
  • Se comienza la numeración desde el carbono más próximo al punto de ramificación.
  • Cuando hay más de dos radicales se nombran por orden alfabético, sí hay radicales repetidos se utilizan los prefijos di-, tri-, tetra-, y se coloca delante de ellos el número del carbono en el cual se ubican.
  • Los números se separan por comas, y los números de las letras se separan por guiones.
  • Por último, se escribe el nombre del hidrocarburo base en una sola palabra, seguido del sufijo −ano.

  • Es importante destacar que, por propósitos de redacción, cuando se escribe el nombre de un alcano, el prefijo sin guion “iso-” se considera parte del radical correspondiente, es decir, se considera parte del nombre isobutilo, y en el listado alfabético se ordena por la “i”.


    Pero, los prefijos “sec-“ y “ter-“ no forman parte del nombre del radical, por lo tanto, cuando se van a ordenar alfabéticamente en la nomenclatura de un compuesto, se consideran por la “b” el sec-butilo y el ter-butilo.


    Aplicamos los pasos aprendidos nombrando según la IUPAC el siguiente alcano:


    Ejemplo: Nombrar el siguiente alcano.


    Identificamos la cadena base en el compuesto:



    Cadena base de 7 carbonos: heptano

    La numeración de los carbonos se inicia del extremo derecho hacia el izquierdo.


    Se identifican los radicales presentes y la ubicación dentro de la cadena carbonada:



    Un etil en el carbono 3

    Un metil en el carbono 2 y uno en el carbono 5

    El nombre del alcano es:


    3 – etil – 2,5 – dimetilheptano

  • Se agregó el prefijo di- al radical metilo para señalar que hay dos de ellos presentes en la cadena carbonada.
  • Para ordenar alfabéticamente se comienza con el radical etil seguido del metil; para el listado alfabético no se toma en cuenta el prefijo di-.

  • ¿Qué son los alquenos?


    Los alquenos, a diferencia de los alcanos, tienen menos hidrógeno que el máximo posible, es por ello que se conocen como hidrocarburos insaturados. Un nombre antiguo que a veces se les otorga es el de olefinas, proveniente del latín oleum (aceite) + facere (hacer).


    Son hidrocarburos alifáticos que contienen un doble enlace entre dos átomos de carbono consecutivos.


    Dicho enlace está compuesto por:


  • Un enlace sigma (σ) estable.
  • Y un enlace pi (π) perpendicular al enlace sigma.

  • El doble enlace de los alquenos es el punto reactivo que determina las propiedades de los compuestos.


    Responden a la fórmula general CnH2n​. No existe un alqueno n=1.


    Por ejemplo, el alqueno más sencillo es el etileno o eteno:


    La química de los alquenos se encuentra gobernada por las reacciones de adición electrofílica.


    Los compuestos con enlaces dobles se encuentran presentes en una gran cantidad de moléculas biológicas, por lo tanto, su comprensión se hace indispensable para entender diversas rutas metabólicas en los organismos vivos.


    En la industria el etileno o eteno se utiliza como materia prima en la elaboración de: etanol, etilenglicol, acetaldehído, ácido acético, cloruro de vinilo y más.


    ¿Qué son los alquinos?


    Los alquinos son hidrocarburos alifáticos de menor popularidad que los alquenos. Poseen un enlace triple entre dos átomos de carbono adyacentes C ≡ C.


    El triple en enlace es el punto reactivo o grupo funcional y es el que le asigna las propiedades a los alquinos. Está constituido por:


  • Un enlace sigma (σ) bastante estable.
  • Y dos enlaces pi (π) perpendiculares entre sí y al enlace sigma.

  • También se conocen con el nombre de hidrocarburos acetilénicos debido a que el primer miembro de la familia es el acetileno o etino.


    Responde a la fórmula general: CnH2n−2​. Los alquinos poseen dos átomos de hidrógeno menos que los alquenos con el mismo número de átomos de carbono. Por ende, no existe algún alquino con un solo átomo de carbono como el metano.



    La química de los alquinos está dominada por reacciones de adición electrofílica, similares a las de los alquenos, debido a la disponibilidad de los electrones que se encuentran en los enlaces pi que conforman el triple enlace.


    Nombrar alquenos y alquinos


  • Los alquenos se nombran reemplazando la terminación -ano del correspondiente alcano por -eno. Los alquenos más simples son el eteno y el propeno; dependiendo de si tiene más de un doble enlace, se nombra con la terminación di, tri, tetra -eno. En el caso de los alquinos, la terminación del alcano se reemplaza por la terminación -ino.
  • Se elige como cadena principal la de mayor longitud que contenga el doble o triple enlace. La numeración comienza en el extremo que otorga al doble o triple enlace el menor localizador.
  • El nombre de los sustituyentes precede al de la cadena principal y se acompaña de un localizador que indica su posición en la molécula. La molécula se numera de modo que el doble enlace tome el localizador más bajo.
  • Cuando hay varios sustituyentes se ordenan alfabéticamente y se acompañan de sus respectivos localizadores.

  • Para más información, haga clic sobre los siguientes enlace:

    //n9.cl/m5o0w
    //n9.cl/u99db
    //n9.cl/et4xi
    //n9.cl/agaq4
    //n9.cl/0k820


    Prop. físicas y químicas de los alquenos y alquinos

    Alquenos


    Los alquenos son hidrocarburos insaturados que tienen doble enlace carbono-carbono en su molécula. Se puede decir que un alqueno es un alcano que ha perdido dos átomos de hidrógeno produciendo como resultado un enlace doble entre dos carbonos. Los alquenos cíclicos reciben el nombre de cicloalquenos. Antiguamente se les denominaba como olefinas dadas las propiedades que presentaban sus representantes más simples, principalmente el eteno, para reaccionar con halógenos y producir óleos.


    Fórmula


    La fórmula general de un alqueno de cadena abierta con un solo doble enlace es CnH2n. Por cada doble enlace adicional habrá dos átomos de hidrógeno menos de los indicados en esta fórmula.


    Al igual que ocurre con otros compuestos orgánicos, algunos alquenos se conocen todavía por sus nombres no sistemáticos, en cuyo caso se sustituye la terminación -eno sistemática por -ileno, como es el caso del eteno que en ocasiones se llama etileno, o propeno por propileno.


    Nomenclatura Sistemática (IUPAC)


    1. Nombrar al hidrocarburo principal: Se ha de encontrar la cadena carbonada más larga que contenga el enlace doble, no necesariamente la de mayor tamaño, colocando los localizadores que tengan el menor número en los enlaces dobles, numerando los átomos de carbono en la cadena comenzando en el extremo más cercano al enlace doble.


    NOTA: Si al enumerar de izquierda a derecha como de derecha a izquierda, los localizadores de las insaturaciones son iguales, se busca que los dobles enlaces tenga menor posición o localizador más bajo.


    2. Si la cadena principal tiene sustituyentes iguales en el mismo átomo de carbono separando por comas los números localizadores que se repiten en el átomo, estos se separan por un guion de los prefijos: di, tri, tetra, etc. Respectivamente al número de veces que se repita el sustituyente.


    3. Los sustituyentes se escriben de acuerdo con el orden alfabético con su respectivo localizador químico.


    4. Si en la cadena principal existen varios sustituyentes ramificados iguales se coloca el número localizador en la cadena principal separando por un guión, y se escribe el prefijo correspondiente al número de veces que se repita con los prefijos: bis, tris, tetraquis, pentaquis, etc. Seguido de un paréntesis dentro del cual se nombra al sustituyente complejo con la terminación -IL.


    5. Realizado todo lo anterior con relación a los sustituyentes, se coloca el número de localizador del doble enlace en la cadena principal separada de un guión, seguido del nombre de acuerdo con el número de átomos de carbono reemplazando la terminación -ano por el sufijo -eno.


    6. Si se presentan más de un enlace doble, se nombra indicando la posición de cada uno de los dobles enlaces con su respectivo número localizador, se escribe la raíz del nombre del alqueno del cual proviene, seguido de un prefijo de cantidad: di, tri, tetra, etc. Y utilizando el sufijo -eno. Ej:-dieno, -trieno y así sucesivamente.


    Propiedades físicas de los alquenos


    La presencia del doble enlace modifica ligeramente las propiedades físicas de los alquenos frente a los alcanos. De ellas, la temperatura de ebullición es la que menos se modifica. La presencia del doble enlace se nota más en aspectos como la polaridad y la acidez.


    Polaridad


    Dependiendo de la estructura, puede aparecer un momento dipolar débil. El enlace alquilo-alquenilo está polarizado en la dirección del átomo con orbital sp2, ya que la componente s de un orbital sp2 es mayor que en un sp3 (esto podría interpretarse como la proporción de s a p en la molécula, siendo 1:2 en sp2 y 1:3 en sp3, aunque dicha idea es simplemente intuitiva). Esto es debido a que los electrones situados en orbitales híbridos con mayor componente s están más ligados al núcleo que los p, por tanto el orbital sp2 es ligeramente atrayente de electrones y aparece una polarización neta hacia él. Una vez que tenemos polaridad en el enlace neta, la geometría de la molécula debe permitir que aparezca un momento dipolar neto en la molécula, como se aprecia en la figura inferior.


    La primera molécula es cis y tenemos un momento dipolar neto, pero la segunda trans, pese a tener dos enlaces ligeramente polarizados el momento dipolar neto es nulo al anularse ambos momentos dipolares.


    Acidez


    El carbono alquenílico tiene mayor acidez frente a los alcanos, debido también a la polaridad del enlace. Así, el etano (alcano) tiene un pKa de 50 (o un Ka de 10-50) frente al pKa = 44 del eteno. Este hecho se explica fácilmente considerando que, al desprenderse un protón de la molécula, queda una carga negativa remanente que en el caso del eteno se deslocaliza más fácilmente en el enlace π y σ que en el enlace σ simple que existe en un alcano. De todas formas, su acidez es menor que la de los alcoholes o los ácidos carboxílicos.


    Propiedades químicas de los alquenos


    Los alquenos se caracterizan por una elevada reactividad química respecto a los alcanos y sus reacciones mayoritarias son de adición. Las reacciones más frecuentes son:


    Adición de haluros de hidrógeno


    Reacción con HCl o HBr.


    Halogenación


    Reacción con halógenos (Cl2, Br2).


    Polimerización


    Vital en la industria del petróleo y sus derivados, ya que se logran largas y resistentes cadenas de materia maleable (plásticos).


    Alquinos


    Los alquinos son hidrocarburos alifáticos con al menos un triple enlace (dos enlaces π pi y uno Σ sigma) -C≡C- entre dos átomos de carbono. Se trata de compuestos de ácido metaestables debido a la alta energía del triple enlace carbono-carbono. Su fórmula general es CnH2n-2.


    Generalidades


    Los alquinos también se conocen como acetilenos, ya que son derivados del acetileno, el alquino más simple.


    La química del enlace triple carbono-carbono es parecida a la del enlace doble. Los alquinos experimentan casi las mismas reacciones que los alquenos, en especial las adiciones y las oxidaciones. También consideramos reacciones que son específicas de los alquinos: algunas que dependen de las características únicas del enlace triple y otras que dependen de la acidez inusual del enlace acetilénico.


    Un enlace triple hace que un alquino tenga cuatro hidrógenos menos que el alcano correspondiente. Por lo tanto, el enlace triple aporta dos elementos de instauración (ei).


    Los alquinos no son tan comunes en la naturaleza como los alquenos, pero algunas plantas utilizan alquinos para protegerse contra enfermedades o depredadores. La cicutoxina es un compuesto tóxico que se encuentra en la cicuta acuática, y la capilina protege a las plantas contra enfermedades fugitivas. El grupo funcional alquino no es común en medicamentos, pero la parsalmida se utiliza como analgésico, y el etinil estradiol (una hormona femenina sintética) es un ingrediente común en las píldoras anticonceptivas. La dinemicina A es un compuesto antibacterial que está siendo probado como agente antitumoral.


    Cicloalquinos


    Los cicloalquinos incluyen la presencia de uno o más enlaces triples entre los carbonos que constituyen el compuesto cíclico. Tienen mayor categoría que los compuestos alquinos lineales. De manera similar a los cicloalquenos, los enlaces triples tienen prioridad cuando se enumeran los carbonos de un cicloalquino. El siguiente criterio es asignar los menores índices a las sustituciones encontradas y, finalmente, considerar el orden alfabético de los radicales.


    Propiedades físicas de los alquinos


    1. Son insolubles en agua, pero bastante solubles en disolventes orgánicos usuales y de baja polaridad: ligroína, éter, benceno, tetracloruro de carbono.


    2. Son menos densos que el agua y sus puntos de ebullición muestran el aumento usual con el incremento del número de carbonos y el efecto habitual de ramificación de las cadenas.


    3. Los puntos de ebullición son casi los mismos que para los alcanos o alquenos con el mismo esqueleto carbonado.


    4. Los tres primeros términos son gases a temperatura ambiente.; los demás son líquidos o sólidos.


    5. A medida que aumenta el peso molecular aumentan la densidad, el punto de fusión y el punto de ebullición.


    6. Los acetilenos son compuestos de baja polaridad, por lo cual sus propiedades físicas son muy semejantes a la de los alquenos y alcanos.


    7. Son inflamables.


    Hay que tener en cuenta que los acetilenos completen la regla del cuarteto.


    Propiedades químicas de los alquinos


    Las reacciones más frecuentes son las de adición: de hidrógeno, halógeno, agua, etc. En estas reacciones se rompe el triple enlace y se forman enlaces de menor polaridad: dobles o sencillos.


    Son buenos nucleófilos y dan mecanismos de sustitución nucleófila con los reactivos adecuados. Esto permite obtener otros alquinos de cadena más larga.


    HC≡CH + Na-NH2 → HC≡C:- Na+

    HC≡C:- Na+ + Br-CH3 → HC≡C-CH3 + NaBr

    En este caso el acetiluro de sodio formado ha reaccionado con bromometano con formación de propino.


    Haluros de alquilo


    Un haloalcano, también conocido como halogenuro de alquilo, halogenoalcano o haluro de alquilo, es un compuesto químico derivado de un alcano por sustitución de uno o más átomos de hidrógeno por átomos de halógeno. La sustitución con flúor, cloro, bromo y yodo conduce a fluoroalcanos, cloroalcanos, bromoalcanos y yodoalcanos, respectivamente. Los compuestos mixtos también son posibles, y son aquellos en los cuales por sustitución de más de un hidrógeno se han sustituido dos o más halógenos diferentes. Los ejemplos más conocidos son los clorofluorocarburos (CFC) que son los principales responsables del agujero en la capa de ozono. Los haloalcanos son usados en la fabricación de dispositivos semiconductores, como refrigerantes, agentes espumantes, disolventes, propelentes en sprays, agentes extintores y reactivos químicos.


    El freon es el nombre comercial de un grupo clásico de clorofluorocarburos usados principalmente como refrigerantes. La palabra Freon es una marca registrada perteneciente a DuPont.


    Existen cuatro tipos de haloalcanos. En los haloalcanos primarios, el carbono que soporta el átomo de halógeno está solo unido a un grupo alquilo. En los haloalcanos secundarios el carbono con el átomo de halógeno está unido a dos grupos alquilo. En un haloalcano terciario el carbono unido al halógeno también lo está a tres grupos alquilo. También tenemos otro pequeño grupo de haloalcanos donde el átomo de halógeno está unido a un grupo metilo (halometanos).


    Regla de Markóvnikov


    En fisicoquímica orgánica, la regla de Markóvnikov es una observación respecto a la reacción de adición electrófila. Fue formulada por el químico ruso Vladímir Markóvnikov en 1870. En una reacción química encontrada particularmente en química orgánica, la regla establece que, con la adición de un reactivo asimétrico del tipo H-X (regularmente un hidrácido) a un alqueno o alquino, el átomo de hidrógeno lábil se une al átomo de carbono del doble o triple enlace con el mayor número de átomos de hidrógeno, y el grupo halogenuro (X) se une al átomo de carbono del doble o triple enlace con el menor número de átomos de hidrógeno.


    Lo mismo es verdad cuando un alqueno reacciona con agua en una reacción catalizada por ácidos minerales, para producir alcoholes. El grupo hidroxilo (OH) se une al átomo de carbono que tiene el mayor número de enlaces carbono-carbono, mientras que el átomo de hidrógeno se une al átomo de carbono en el otro extremo del enlace doble, el que tiene el mayor número de enlaces carbono-hidrógeno.


    La base química para la regla de Markóvnikov es la formación del carbocatión más estable, durante el proceso de adición. La adición del átomo de hidrógeno a uno de los átomos de carbono origina una carga formal positiva en el otro átomo de carbono, formando un carbocatión intermediario. Mientras más sustituido está un carbocatión (más enlaces tiene a otro átomos de carbono u otros sustituyentes electrodonantes), más estable es, debido al efecto inductivo, hiperconjugación e impedimento estérico. El producto principal de la reacción de adición será el que tenga el intermediario más estable. En consecuencia, el producto principal de la adición del HX (donde X es un halógeno, átomo o grupo funcional más electronegativo que el átomo de hidrógeno) a un alqueno tiene el átomo de hidrógeno en la posición menos sustituida y el grupo X en la posición más sustituidas. Es importante notar que, sin embargo, también se formará el carbocatión menos estable, aunque en menor grado, y procederá a formar el producto minoritario con la disposición de átomos en forma opuesta.


    Como una mnemotécnica, se puede sumarizar en “el rico se hace más rico y el pobre se hace más pobre”: un átomo de carbono rico en sustituyentes ganará más sustituyentes, y el átomo de carbono con más átomos de hidrógeno unidos ganará más átomos de hidrógeno.


    Para más información, haga clic sobre los siguientes enlaces:

    //n9.cl/db1g7
    //n9.cl/o4ltg
    //n9.cl/dqlss
    //n9.cl/0hznx7

    Gas y petróleo en Venezuela

    El petróleo en Venezuela


    En Venezuela se empieza a explotar el petróleo a partir de 1875, después de un terremoto comienza a salir petróleo en grandes cantidades por una de las grietas producidas por el movimiento telúrico en la hacienda “La Alquitrana” del Estado Táchira perteneciente al Señor Manuel Antonio Pulido.


    Hubo un tiempo en el que Venezuela lideraba la producción global de crudo solo por detrás de Estados Unidos y Arabia Saudí. Un tiempo en el que los barcos petroleros se arremolinaban en torno a sus costas y en el que el dinero y la inversión pública no dejaba de fluir en el país.


    Pero de eso hace ya más de una década. Venezuela, que posee las reservas probadas de petróleo más cuantiosas del mundo, exportó en 2021 apenas el 1,1% de todo el crudo comercializado a escala global, cuando en 2018 casi triplicaba esa cuota y en 2015 la quintuplicaba, según los datos de la Organización de Países Exportadores de Petróleo (OPEP).


    Historia del petróleo en Venezuela


    1904-1940 – El nacimiento de la industria petrolera venezolana


    A pesar del conocimiento de la existencia de petróleo en Venezuela desde hacía siglos, este recurso cobró real trascendencia con la llegada del siglo XX y los primeros pozos de real importancia no se perforaron sino hasta la década de 1910. El entonces presidente Cipriano Castro aprobó un nuevo Código de Minas para la Nación el 23 de enero de 1904, estableciendo así un principio que marcaría dramáticamente el curso de la industria petrolera hasta su nacionalización en 1976. El presidente de la República obtenía facultad plena para administrar y otorgar concesiones petroleras sin necesidad del consentimiento del Congreso.


    En 1908, Juan Vicente Gómez reemplazó a Castro como presidente de Venezuela. En los siguientes años, Gómez continuó la política de otorgamiento de concesiones, que en su mayoría fueron adjudicadas a sus amigos más cercanos, quienes a su vez las renegociaron con las compañías petroleras extranjeras que poseían la tecnología necesaria para poder desarrollarlas. Una de estas concesiones fue otorgada a Rafael Max Valladares que contrató a la Caribbean Petroleum (subsidiaria de la Royal Dutch Shell) para llevar a cabo su proyecto de exploración de hidrocarburos. El 15 de abril de 1914, el primer campo petrolífero venezolano de importancia, Mene Grande, fue descubierto por la Caribbean tras la finalización del pozo Zumaque I (llamado actualmente MG-I).


    Este importante descubrimiento es lo que alentó una ola masiva de las compañías petroleras extranjeras para "invadir" Venezuela en un intento por conseguir un pedazo de la acción.


    De 1914 a 1917, varios yacimientos de petróleo fueron descubiertos en todo el país, sin embargo el estallido de la Primera Guerra Mundial retrasó significativamente el desarrollo de la industria. Debido al esfuerzo de guerra, compra y transporte de las herramientas y maquinaria, algunas compañías petroleras se vieron obligadas a renunciar a la perforación hasta después de la guerra. A finales de 1917, las primeras operaciones de refinación se llevaron a cabo en la refinería de San Lorenzo, y las primeras exportaciones significativas de petróleo venezolano salieron por la terminal Caribbean Petroleum en San Lorenzo. A finales de 1918, el petróleo apareció por primera vez en las estadísticas de exportación de Venezuela con una producción anual de 21.194 toneladas métricas. Después de unos veinte años desde la instalación del primer taladro perforador de pozos, Venezuela se había convertido en el mayor exportador de petróleo del mundo y el segundo mayor productor de petróleo, después de Estados Unidos. La exportación de petróleo se disparó de 1,9% a 91,2% entre 1920 y 1935.


    Cuando se descubrió petróleo en el campo La Rosa en la Costa Oriental del Lago de Maracaibo en 1922, el dictador de Venezuela, Juan Vicente Gómez permitió a los estadounidenses a escribir la ley petrolera de Venezuela.


    La enfermedad holandesa


    Para 1929, Venezuela fue el segundo mayor país productor de petróleo (sólo por detrás de Estados Unidos) y el mayor exportador de petróleo del mundo. Con un espectacular desarrollo de la industria, el sector del petróleo había comenzado a dominar todos los demás sectores económicos del país, sin embargo, la producción agrícola comenzó a disminuir drásticamente. Este repentino aumento de la atención al petróleo y el abandono del sector agrario hace que la economía venezolana sufra de un fenómeno conocido por los economistas como la enfermedad holandesa. Esta "enfermedad" se produce cuando una mercancía ocasiona un aumento sustancial de los ingresos en un sector de la economía, y no es complementado por un mayor ingreso en otros sectores. La agricultura representó alrededor de un tercio de la producción económica en la década de 1920, pero por la década de 1950 esta fracción se vio drásticamente reducida a una décima parte. Este repentino aumento de la producción de petróleo limita la facultad general de Venezuela para crear y mantener otras industrias. El gobierno hizo caso omiso a graves problemas sociales, incluyendo educación, salud, infraestructura, agricultura y las industrias nacionales, causando que Venezuela quedara muy detrás de otros países industrializados.


    1940-1976 – El camino a la nacionalización


    En 1941, el general Isaías Medina Angarita oriundo de los Andes venezolanos, fue elegido presidente de forma indirecta. Uno de sus más importantes reformas durante su mandato fue la promulgación de la Ley de Hidrocarburos de 1943. Esta nueva ley fue el primer gran paso político dado hacia ganar más control sobre su industria petrolera. Bajo la nueva ley, el concepto de una división de 50/50 de los beneficios entre el gobierno y la industria del petróleo se introdujo. Una vez aprobada, esta ley básicamente se mantuvo sin cambios hasta 1976, año de la nacionalización, con sólo dos revisiones parciales que se realizan en 1955 y 1967.


    En 1944, el gobierno venezolano dio varias nuevas concesiones para fomentar el descubrimiento de más yacimientos de petróleo. Esto se atribuyó principalmente a un aumento en la demanda de petróleo causada por la Segunda Guerra Mundial, y en 1945, Venezuela estaba produciendo cerca de 1 millón de barriles por día. Siendo un ávido proveedor de petróleo a los Aliados de la Segunda Guerra Mundial, Venezuela ha aumentado su producción un 42 por ciento desde 1943 hasta 1944. Incluso después de la guerra, la demanda de petróleo continúa en aumento debido al hecho de que hubo un aumento de veintiséis millones hasta cuarenta millones de los coches en servicio en los Estados Unidos desde 1945 hasta 1950. A mediados de 1950, sin embargo, países del Medio Oriente había comenzado contribuir con cantidades significativas de crudo al mercado internacional de petróleo, y los Estados Unidos habían aplicado las cuotas de importación de petróleo. El mundo experimentó un exceso de oferta de petróleo, y se desplomaron los precios.


    Creación de la OPEP


    En respuesta a los precios del petróleo crónicamente bajos de la década de 1950 a mediados y finales, los países productores de petróleo Venezuela, Irán, Arabia Saudita, Irak y Kuwait se reunieron en Bagdad en septiembre de 1960 para formar la Organización de Países Exportadores de Petróleo (OPEP). Los principales objetivos de los países miembros de la OPEP fueron a trabajar juntos con el fin de asegurar y estabilizar los precios internacionales del petróleo para garantizar sus intereses como naciones productoras de petróleo. Esto fue logrado en gran medida a través de las cuotas de exportación que ayudaron a evitar la sobreproducción de petróleo en el ámbito internacional.


    Nacionalización


    Mucho antes de 1976, Venezuela había tomado varias medidas en la dirección de la nacionalización de su industria petrolera. En la ley de reversión promulgada en 1971 se afirmaba que todos los bienes, instalaciones y equipos pertenecientes a las concesionarias dentro o fuera de las áreas de concesión revertiría a la nación sin compensación a la expiración de la concesión. El movimiento hacia el nacionalismo se vivió una vez más bajo el decreto 832 donde se establece que toda la exploración, producción, refinación, y programas de ventas de las compañías petroleras tenían que ser aprobados previamente por el Ministerio de Minas e Hidrocarburos. Así que para todos los propósitos prácticos, Venezuela ya estaba en camino a la nacionalización en 1972.


    No se hizo oficial sin embargo, hasta la segunda presidencia de Carlos Andrés Pérez, cuyo plan económico, "La Gran Venezuela", contemplaba la nacionalización de la industria del petróleo y la diversificación de la economía a través de la sustitución de importaciones. El país oficialmente nacionalizó la industria petrolera el 1 de enero de 1976, bajo la gestión ministerial de Valentín Hernández Acosta, y junto con él vino el nacimiento de Petróleos de Venezuela, S.A. (PDVSA), que es la empresa estatal venezolana de petróleo. Todas las compañías petroleras extranjeras que una vez hicieron negocios en Venezuela, fueron reemplazadas por empresas venezolanas filiales de PDVSA que controla la actividad de explotación de hidrocarburos en Venezuela. En 1980, PDVSA compró la empresa estadounidense Citgo, y actualmente es una de las empresas petroleras más grandes del mundo.


    Actualidad y futuro


    Tras la escalada de precios a partir de la crisis desatada por la invasión de Irak en el 2003, los proyectos de desarrollo de la Faja del Orinoco han cobrado mayor importancia económica. El gobierno del presidente Hugo Chávez decretó en 2007 la conversión de todas las concesiones en la Faja a empresa mixta, donde el Estado, siempre a través de PDVSA, debe tener mayoría accionaria.


    En la actualidad, Venezuela es el quinto país exportador de petróleo del mundo, con la primera reserva más grande de crudo pesado. Venezuela tienen un gran potencial para la expansión de la capacidad, Venezuela podría aumentar la capacidad de producción en un 2,4 MMbbl / d desde los niveles de 2001 (3,2 MMbpd) a 5,6 MMbpd el año 2025 aunque esto requeriría una significativa inversión de capitales por parte de PDVSA compañía nacional de petróleo. Para el año 2010, la producción venezolana de hecho bajó a ~ 2,25 MMbbl / d. PDVSA no han demostrado ninguna capacidad para desarrollar nuevos yacimientos de petróleo desde la nacionalización de los proyectos de petróleo pesado en la Faja Petrolífera del Orinoco antes operadas por empresas internacionales como ExxonMobil, ConocoPhillips, Chevron y Total.


    En 2005, PDVSA abrió su primera oficina en China, y anunció planes para casi triplicar su flota de buques petroleros en esa región. Actualmente, Estados Unidos representa el 65%de las exportaciones de Venezuela.


    El gas natural en Venezuela


    El nacimiento de la Industria del Gas Natural, se da a partir de la promulgación de la Ley que Reserva al Estado la Industria del Gas Natural en 1971. Los primeros pozos exploratorios de yacimientos de gas (no asociado) se perforaron al Norte de Paria en la Plataforma Deltana.


    Durante años, se mantuvo en agenda, el Proyecto de Gas llamado Cristóbal Colon, esperando mejores condiciones en el mercado internacional, para llevarlo a cabo. En 1996, es pospuesto. En este proyecto se encontraban empresas, como Lagoven, Shell, Exxon, y Mitsubishi.


    Anterior a 1975, la producción de gas, era en su mayoría asociada al petróleo, y su uso se limitaba básicamente, a conservación en el yacimiento y recobro mejorado. La primera cifra de producción de gas registrada por el Ministerio de Minas e Hidrocarburo data de 1938, y fue de 312,5 Mpc/dia (metros cúbicos de gas por día).


    Hechos históricos


    Entre los hechos más resaltantes relacionado al gas natural, se encuentran:


  • En 1936 comienza inyección de gas a yacimientos, planta Quiriquire.
  • Se promulga la Ley de Hidrocarburos, en 1928 y el Reglamento en 1930. En el Art. 101 de la Ley se plantea las primeras medidas oficiales de conservación del gas.
  • En 1943 se promulga Ley de Hidrocarburos y su Reglamento.
  • Nace el Ministerio de Minas e Hidrocarburos en 1950.
  • En 1975 se promulga la Ley Orgánica que Reserva al Estado la Industria y el Comercio de los Hidrocarburos.
  • 1988 es Aprobado Proyecto de Gas Natural para Vehículos.
  • En 1999 se promulga la Ley Orgánica de Hidrocarburos Gaseosos. Y comienza la Búsqueda de Gas libre, exceptuando en Guárico que empezó antes.
  • 2007 el gobierno establece el Programa “Revolución del Gas”.

  • Reservas de gas natural en Venezuela


    De las reservas probadas de gas natural en Venezuela, el 91% corresponde a gas natural asociado. El mayor volumen de reservas del país (70%) está localizado en el Oriente, 23% corresponde al Occidente y el resto a Costa Afuera 7%. Las reservas más importantes de Gas libre se encuentran Costa Afuera, siendo las áreas más avanzadas en exploración las correspondientes al Proyecto Mariscal Sucre en el norte de la Península de Paria y las de la Plataforma Deltana.


    Al cierre de diciembre de 2011 Venezuela cuenta con vastas reservas probadas de gas natural por el orden de 195.243.943 bIllones de pie cúbicos, ubicándonos como el octavo país del mundo con mayores reservas probadas de gas natural y el primero de América Latina, constituyendo un cuadro fuerte de oferta a largo plazo de este recurso estratégico. Enagas (2011).


    La electricidad en Venezuela


    Desde la segunda mitad del siglo XX, Venezuela se incorporó al conjunto de países que impulsaron las grandes centrales de generación de energía eléctrica tanto térmica como hidráulica y mediante la construcción de redes de alta y muy alta tensión a través del país (765.000, 400.000, 230.000,115.000 voltios), dotaron de electricidad a más del 90% del territorio nacional.


    Para 1998, el país estaba totalmente dotado de electricidad con suficiente capacidad de generación (más de 14.000 megavatios) para una demanda de alrededor de 11.000 megavatios.


    Los sistemas de transmisión desde Guayana hasta el estado Zulia y hacia los estados Táchira en los andes, Apure en los llanos y Amazonas en el sur, lograban que, utilizando las diferentes redes de distribución, el servicio eléctrico llegara a todos los rincones del país, incluyendo las áreas rurales.


    En Venezuela la comercialización de la energía eléctrica se ha ejecutado bien mediante empresas centralizadas y separadas de la actividad de distribución o por empresas que cumplen ambas actividades aun cuando utilizando personal específico para cada área.


    Sistema eléctrico nacional de Venezuela


    El Sistema Eléctrico Nacional de Venezuela está compuesto por un amplio número de infraestructuras, la mayoría de las cuales están localizadas en el estado Bolívar, región de Guayana, donde funcionan los complejos hidroeléctricos más grandes del país. Posee una capacidad instalada de generación de 24.000 megavatios (MW). El Sistema Eléctrico Nacional está regido por la Corporación Eléctrica Nacional (Corpoelec).


    La principal planta de energía es la Central Hidroeléctrica Simón Bolívar, o represa Raúl Leoni, o represa del Guri, cuya capacidad de generación alcanza los 10 millones de kW, siendo una de las plantas hidroeléctricas con mayor capacidad de producción en el mundo. Esta planta y las otras construidas en el río Caroní garantizan energía segura a bajos precios, para la producción de hierro, alúmina, aluminio, acero y otros en las Empresas Básicas de Guayana (CVG).


    Las centrales hidroeléctricas de Guri y Macagua aportan el total de la electricidad comercial necesaria en Guayana. También cubren el 62% del potencial eléctrico que llega a los hogares e industrias de toda Venezuela. Otro 35% de la generación de electricidad proviene de plantas termoeléctricas, y un 3% corresponde al sistema de generación distribuida, compuesta por grupos electrógenos.


    El patrimonio de generación de energía eléctrica existente en Venezuela es de 6 plantas hidroeléctricas, ubicadas en los estados Bolívar, Barinas y Mérida, y 3 más en ejecución en Bolívar, Mérida y Táchira. También cuenta con 6 plantas termoeléctricas, ubicadas en los estados Falcón, Zulia, Lara y Carabobo, y 7 más en ejecución, en el resto del país. Además, 25 plantas de generación distribuida (grupos electrógenos), ubicadas en los estados Apure, Carabobo, Barinas, Mérida, Táchira, Trujillo, Monagas, Miranda, Guárico, Amazonas, Anzoátegui, Nueva Esparta y Falcón.


    Las potencialidades de desarrollo del Sistema Eléctrico Nacional se vienen configurando a través de las inversiones que ejecuta el Estado venezolano, las cuales están por encima de los 15 mil millones de dólares. Corpoelec adelanta continuamente proyectos autógenos de generación eléctrica a nivel de la región capital, así como en aquellas unidades que se encuentran en proceso de transformación, modificación y adecuación, entre las que figuran la planta Macagua, en el estado Bolívar, y el Complejo Generador Termocentro, en el estado Miranda, que desde 2014 aporta 1.100 megavatios al Sistema Eléctrico Nacional.


    Con los recursos provenientes del petróleo venezolano, junto al enorme caudal del río Caroní para la generación eléctrica, más los cuantiosos y maravillosos depósitos de minerales de todo tipo y piedras preciosas de Guayana, se está dando impulso a la construcción y consolidación de uno de los sistemas eléctricos más eficientes a nivel internacional.


    Situación actual de la energía eléctrica en Venezuela


    En el país, desde hace más de diez años, esa disponibilidad de electricidad no puede ser utilizada en aproximadamente el 30 % de los hogares venezolanos es decir por 9 millones de habitantes, por cuanto los apagones y las interrupciones del servicio son una situación que se repite diariamente en todo el territorio nacional con algunas excepciones en la Capital –Caracas–.


    En las principales capitales de la provincia como Coro, Cumana, Ciudad Bolívar, Maracaibo, Trujillo, Mérida, San Cristóbal, San Fernando de Apure, Maracay, las interrupciones son a veces diarias, a veces interdiarias y las mismas duran cuatro o más horas.


    Además de la repetición de las interrupciones, también se presentan fallas de mayor envergadura que producen apagones de todo un día o a veces más de un día, con las consecuencias que esto trae para el trajín diario de toda la población, así como paralización de los procesos industriales, del comercio y de las industrias diseminadas por el territorio nacional.


    Causas de la situación precaria de la energía eléctrica en Venezuela


    Las causas de la situación actual son varias:


  • Déficit de mantenimiento.
  • Déficit de personal.
  • Déficit de cuadrillas y de recursos tales como Vehículos, materiales, equipos de seguridad.
  • La falta de sustitución de alimentadores con vencimiento de su vida útil.

  • Conclusiones


    Las fuentes energéticas como lo son el Petróleo, el Gas Natural y la Energía Eléctrica, en Venezuela ha tenido sus alta y bajas, cuando han sido bien aprovechadas se notaron avances y crecimiento en la población. El Petróleo y el Gas no son renovables, pero Venezuela cuenta con muchas reservas debajo del subsuelo, que esperan por ser explotadas. Tiene además fuentes primarias de energías con ríos con grandes caudales que pudieran ser aprovechadas para generar energía eléctrica, pero el otro punto es el deterioro que han sufrido todos los sistemas de generación energética en Venezuela debido a la crisis económica del país en los últimos tiempos. Corrupción, Falta de Recursos y Mantenimiento ha empeorado la situación.


    Para más información, haga clic sobre el siguiente enlace: //n9.cl/nbm53

    Hidrocarburos alifáticos y aromáticos

    Hidrocarburos alifáticos


    Los hidrocarburos alifáticos son compuestos orgánicos que no contienen carácter aromático. Poseen cadenas carbonadas abiertas, las cuales pueden ser lineales o ramificadas. Se clasifican en dos grandes grupos: saturados e insaturados (no saturados).


  • Hidrocarburos saturados, (alcanos o parafinas), en la que todos sus carbonos tienen cuatro enlaces simples (o más técnicamente, con hibridación sp3).
  • Hidrocarburos no saturados o insaturados, que presentan al menos un enlace doble (alquenos u olefinas) o triple (alquino o acetilénico) en sus enlaces de carbono.

  • Hidrocarburos aromáticos


    Son hidrocarburos derivados del benceno. El benceno se caracteriza por una inusual estabilidad, que le viene dada por la particular disposición de los dobles enlaces conjugados.


    Formas resonantes

    Aunque su estructura sea la de un alqueno poliinsaturado (ciclohexa-1,3,5-trieno), sus propiedades no son las esperables para ese tipo de sustancias. por ello, al benceno y compuestos similares o derivados se les conoce con un nombre especial: aromáticos.


    Las especies aromáticas cumplen tres condiciones:


  • Sus moléculas son cíclicas.
  • Sus moléculas son planas.
  • Sus moléculas tienen electrones compartidos en número igual a 4n+2 (regla de Hückell).

  • Como acabamos de ver, en estas sustancias los dobles enlaces no tienen una posición definida, en consecuencia para el benceno se suele usar el siguiente símbolo:


    Ejemplos: Benceno (C6H6) y Tolueno (C7H8).


    Modo de nombrarlos


  • Regla 1. En bencenos monosustituidos, se nombra primero el radical y se termina en la palabra benceno.

  • Regla 2. En bencenos disustituidos se indica la posición de los radicales mediante los prefijos orto- (o-), meta (m-) y para (p-). También pueden emplearse los localizadores 1,2-, 1,3- y 1,4-.

  • Regla 3. En bencenos con más de dos sustituyentes, se numera el anillo de modo que los sustituyentes tomen los menores localizadores. Si varias numeraciones dan los mismos localizadores se da preferencia al orden alfabético.


  • Para más información, haga clic sobre los siguientes enlaces:

    //n9.cl/v82teg
    //n9.cl/umtyw


    Alcoholes y fenoles

    Los alcoholes y fenoles son compuestos de la formulación de química orgánica que contienen grupos hidroxilo, es decir, un OH. Entonces, si nos encontramos con un grupo hidroxilo unido a un anillo aromático, se le llamará fenol.


    Los alcoholes también tienen categorías, ya que encontramos los grupos hidroxilo unidos a diferentes estructuras; una forma de organizarlos, es basándose en el tipo de átomo de carbono al que esta unido, por ejemplo, si es un carbono primario, obviamente tendremos un alcohol primario. Si esta unido a un carbono secundario, sera un alcohol secundario, por lo tanto un alcohol terciario esta unido a un carbono terciario.


  • El alcohol cuando es función principal en la fórmula se añade el sufijo -ol.
  • El alcohol cuando es un sustituyente se añade a la fórmula el prefijo hidroxi-.

  • Alcohol primario


    etanol o alcohol etílico

    Alcohol secundario



    2-propanol o propan-2-ol o alcohol isopropílico o isopropanol

    Alcohol terciario


    alcohol terc-butílico o terc-butanol o 2-metil-2-propanol

    Otros alcoholes


    metanol


    Para nombrar a los fenoles si se deben seguir cierto tipo de criterios, dado que incluye un anillo aromático. Con frecuencia se siguen los siguientes criterios:


    ORTO (1,2- disustituido)


    orto-metilfenol o 2-metilfenol

    META (1,3- disustituido)


    meta-metilfenol o 3-metilfenol

    PARA (1,4- disustituido)


    para-metilfenol o 4-metilfenol

    alcohol bencílico

    alcohol alílico

    Molécula 6


    6-metilciclohex-2-enol

    Para más información, haga clic sobre los siguientes enlaces:

    //n9.cl/eqfp2
    //n9.cl/krc9b
    //n9.cl/ltqr4

    Polímeros

    Se llama polímeros a un conjunto de macromoléculas usualmente orgánicas, que resultan de la unión de moléculas más simples llamadas monómeros mediante enlaces químicos de tipo covalente. Se constituyen largas estructuras moleculares unidas entre sí por distintas fuerzas (puentes de hidrógeno, fuerzas de Van der Waals o interacciones hidrofóbicas).


    Los polímeros pueden ser de origen natural o sintético, pero siempre son el resultado de un proceso llamado polimerización, en el cual fenómenos como la temperatura, el tiempo de reacción o la naturaleza de los monómeros determinan el largo de la cadena polimérica resultante.


    Estas estructuras complejas son vitales para la evolución de los seres vivos complejos (la molécula de ADN es un polímero), así como de sustancias industriales orgánicas sumamente versátiles como el plástico y otros derivados del petróleo.


    Origen de los polímeros


    La palabra polímeros proviene de la unión de dos vocablos griegos: polys (“muchos”) y meros (“partes, segmentos”), y fueron denominados así por primera vez en 1866 por Marcellin Berthelot.


    Muchos de los materiales usados por la humanidad desde la antigüedad son polímeros, como la madera, la lana o la seda, y a partir de su modificación se pudo obtener formas más resistentes y útiles.


    El primer polímero totalmente sintético se obtuvo en 1907, cuando el holandés Leo Hendrik Baekeland desarrolló la baquelita a partir del fenol y el formaldehído.


    El estudio formal de los polímeros inició no obstante en 1922, cuando el alemán Hermann Staudinger determinó (1926) que se trataba de largas cadenas moleculares e inició el proceso de su nomenclatura y comprensión, sentando las bases para la ciencia macromolecular. Esta última tomaría empuje definitivo tras la Segunda Guerra Mundial y a partir de la segunda mitad del siglo XX llegaría una verdadera revolución de polímeros sintéticos.


    Nomenclatura de los polímeros


    Más allá de las normas IUPAC establecidas para nombrar sustancias químicas, los polímeros se suelen nombrar tomando el nombre del monómero base para su conformación, antecedidos por el prefijo poli (“muchos”). Por ejemplo: poliestireno, polietileno, etc.


    Otra forma común es agregar la palabra “caucho”, “goma” o “acrílico” antes del nombre de los copolímeros. Por ejemplo: caucho estireno-butadieno, resina fenol-formaldehído.


    Por último, existen algunos polímeros dotados de nombres propios, usualmente derivados de las marcas que los comercializaron, como es el caso del nailon (poliamida), teflón (politetrafluoretileno) o neopreno (policloropreno).


    Tipos de polímeros


    Según su origen, los polímeros pueden ser:


  • Polímeros naturales: Son de origen natural, provenientes de la naturaleza. Por ejemplo: los ácidos nucleicos o las proteínas.
  • Polímeros semisintéticos: Se obtienen a partir de la transformación de polímeros naturales. Por ejemplo: la nitrocelulosa.
  • Polímeros sintéticos: Se obtienen industrialmente mediante el manejo de monómeros orgánicos. Por ejemplo: el nailon o el policloruro de vinilo (PVC).

  • Según su estructura química, los polímeros pueden ser:


  • Polímeros orgánicos: Son aquellos cuya cadena principal de moléculas está compuesta primordialmente por carbono (C).
  • Polímeros orgánicos vinílicos: Presentan únicamente átomos de carbono en su cadena principal, aunque también pueden contener halógenos y estirenos en su estructura.
  • Polímeros orgánicos no vinílicos: Presentan en su cadena principal oxígeno (O) y nitrógeno (N) además de átomos de carbono.
  • Polímeros inorgánicos: Pueden estar basados en azufre (S) o en silicio (Si).

  • Según su estructura, los polímeros pueden ser:


  • Homopolímeros: Están compuestos por un mismo tipo de molécula que se repite.
  • Copolímeros: Están compuestos por dos o más tipos de moléculas que se reiteran sucesivamente en la cadena.

  • Según la estructura de sus cadenas, los polímeros pueden ser:


  • Polímeros de cadena lineal: Están formados por largas cadenas de monómeros en línea recta.
  • Polímeros radiales: Están formados por estructuras circulares.
  • Polímeros ramificados: Están formados por cadenas divergentes de polímeros, como las ramas de un árbol.

  • Polimerización


    El proceso de construcción de los polímeros es la polimerización y consiste en la unión por enlaces covalentes de los distintos monómeros que lo integran. Dicho proceso puede ser de dos tipos:


  • Por condensación: Da como resultado copolímeros y homopolímeros, a través de la pérdida de una molécula pequeña (de agua, por ejemplo) en cada unión de monómeros. También se la conoce como polimerización por etapas.
  • Por adición: Ocurre en un proceso de tres fases: iniciación, propagación y terminación, durante las cuales se produce una ruptura homolítica y se juntan los monómeros. No se libera ninguna molécula de baja masa molecular.

  • Aplicaciones de los polímeros


    Los polímeros son enormemente versátiles. Su resistencia a la conducción eléctrica los han hecho ideales para revestimientos y aislantes. Algunos, de punto de fusión muy elevado, sirven también para aislar térmicamente utensilios de cocina. En otros casos, resultan materiales de construcción idóneos para revestimientos e impermeabilización, o como material estructural.


    Muchos polímeros derivados del petróleo son la materia prima para elaborar plásticos de todo tipo y función, desde envases, herramientas, piezas, juguetes, etc.


    Ejemplos de polímeros


    Los polímeros son sumamente abundantes en el mundo. Algunos conocidos son:

  • Celulosa: Es el biopolímero del que está hecha la madera y el papel.
  • ADN: Es el ácido desoxirribonucleico presente en el núcleo de nuestras células es un buen ejemplo de polímero natural.
  • El PCV: El policloruro de vinilo, se obtiene polimerizando cloruro de vinilo y es uno de los derivados del plástico más versátiles que existen.
  • Almidón: Es una sustancia blanca, inodora e insípida, compuesta de dos tipos de azúcares. Es empleado por las plantas como material de reserva energético.
  • Nylon: Conocido como nailon o nilón, es una poliamida usada en la fabricación de las tradicionales medias femeninas así como para cuerdas, paracaídas y otros miles de insumos textiles.
  • Baquelita: Es la primera sustancia plástica sintética. Se emplea en la producción industrial de carcasas de aparatos eléctricos, enseres de cocina y boquillas de las botas de vino tradicionales.

  • Problemas ambientales asociados a la producción de polímeros


    Los plásticos se producen en grandes cantidades por ser baratos y livianos, sin embargo generan problemas de contaminación en el medio ambiente, y su eliminación constituye un problema a nivel mundial. Los materiales plásticos tardan cientos de años en degradarse en el medio ambiente, en algunos casos demoran más de 1.000 años. El empleo masivo de estos materiales en objetos desechables es un error de consecuencias catastróficas a nivel global. Los materiales más perjudiciales son aquellos con tamaños inferiores a 5 mm, que se denominan microplásticos. Estas partículas provienen de la ruptura de plásticos más grandes o han sido elaborados así para su uso en productos de limpieza e higiene. La cantidad de microplástico presente en una botella de 100 ml puede ser mayor a 100.000. Estudios recientes han observado que los animales marinos ingieren estos microplásticos, provocando bloqueos gastrointestinales y alteraciones en sus patrones de alimentación y reproducción.


    ¿Qué podemos hacer?


    Contemplando el nivel de alarma en el uso de estos materiales, una de las opciones más conocidas y que se puede llevar adelante para mitigar los problemas ambientales que generan los polímeros es reciclar. Reciclar constituye la utilización de los residuos como materia prima, dentro de un nuevo proceso de producción. Entre 2015 y 2016, Europa logró que el volumen de residuos plásticos para su reciclaje aumentara en un 79% y de esa manera se llevara adelante una recuperación energética y que el depósito en vertederos disminuyera en un 43%.


    Otras alternativas para reducir los problemas medioambientales involucrarían las acciones de reducir y reutilizar. Reducir implica disminuir el consumo de artículos innecesarios y de sustancias potencialmente contaminantes. Por ejemplo, utilizar hasta agotar todos los materiales de estudio o trabajo (lapiceras, cuadernos, gomas, etc). Desde el 2011, rige una ley en la provincia de Córdoba (Ley Nº 9696) que prohíbe en todo el territorio provincial del uso de bolsas de polietileno y de todo otro tipo de material plástico convencional. Esa norma reduce el consumo de polietileno en bolsas plásticas pero actualmente se cumple muy parcialmente, y en algunas pocas ciudades. Actualmente en Argentina, hay algunas empresas que sintetizan bolsas basadas en productos renovables provenientes de maíz y papa y que son una buena opción para sustituir el polietileno. En Córdoba, la firma Papeleno SRL está trabajando en esa dirección. Por otro lado, si bien la ley no hace mención al uso de bolsas oxi-biodegrables, estás están cuestionada, ya que contienen polietileno y sustancias que aceleran la degradación, formando microplásticos que son perjudiciales para el medioambiente.


    Finalmente, la reutilización es el empleo de un producto usado para el mismo fin u otro nuevo, sin descartarlo. Se debe reutilizar todo lo que nos sea posible.


    Si cumplimos la “estrategia de las tres erres (reciclar, reducir y reutilizar)”, conseguiremos reducir de forma notable la cantidad de plásticos producidos, ayudando a la recuperación del medio ambiente.


    ¿Y en casa qué podemos hacer?


    Algunas estrategias involucran:


  • Cuando sea posible compra productos naturales a granel (sin envasar).
  • Utiliza preferentemente materiales reciclados, ecológicos, o que permitan más fácilmente su posterior reciclaje, por ejemplo, cuadernos reciclados. Una forma de saber si el material que compras es reciclable es mediante la aparición de simbología como la que siguente:



  • En polímeros existe numeración establecida:

  • Separa los residuos en tu casa en orgánicos e inorgánicos.
  • Trata de comprar envases de vidrio. Si los envases son retornables mejor aún.
  • Compra productos recargables: por ejemplo, pilas y baterías, etc.
  • Trata de reparar o reutilizar antes de tirar.
  • Evita la compra de productos desechables. Si comprás en rotisería, trata de reutilizar los materiales plásticos.
  • Utiliza hasta agotar los materiales con los que desempeñas tu trabajo o estudio.
  • Dona a una organización aquella ropa o materiales que no uses.
  • Reutiliza bolsas de los comercios para cestos de basura.

  • Estas son algunas estrategias, no son las únicas. Reducir, reciclar y reutilizar debería convertirse en una costumbre para mejorar nuestra calidad de vida y la de las generaciones futuras.


    Para más información, haga clic sobre los siguientes enlaces:

    //n9.cl/stcd
    //n9.cl/uy0tm

    Biomoléculas

    La materia viva está formada por compuestos llamados biomoléculas, existen dos tipos: orgánicas e inorgánicas. En el examen encontrarás algunas preguntas relacionadas con este tema, así que revisa este blog para aprender más.


    Primero que nada, una molécula es un conjunto de átomos que se mantienen unidos a través de fuerzas químicas, las cuales conocemos como enlaces. Pueden ser átomos del mismo elemento o diferentes. Los átomos que constituyen a las biomoléculas son conocidos como bioelementos; y los podemos clasificar en primarios y secundarios.


    Los primarios son: carbono, hidrógeno, oxígeno y nitrógeno; formando aproximadamente el 95% de la materia viva. Los secundarios son: azufre, fósforo, magnesio, calcio, sodio, potasio y cloro, representando el 4.5% de la materia viva.


    Ahora que ya sabemos qué son las biomoléculas y como están formadas, pasemos a conocer los tipos de moléculas orgánicas más importantes.


    Carbohidratos o glúcidos


    Están compuestos por carbono, oxígeno e hidrógeno principalmente; sin embargo, también pueden contener muy pequeñas cantidades de nitrógeno y azufre. Además debido a su sabor dulce, reciben el nombre de azúcares. Existen cuatro tipos: monosacáridos, disacáridos, oligosacáridos y polisacáridos. Las funciones principales de los carbohidratos son: aportar energía de manera inmediata a las células y algunos, forman estructuras esqueléticas muy resistentes.


    Lípidos o grasas


    Tienen los mismos elementos que los carbohidratos y además, fósforo. Unas de sus principales características es que son heterogéneos e insolubles en agua. Existen 7 tipos: ácidos grasos, triglicéridos, ceras, fosfolípidos, esfingolípidos, terpenos y esteroides. Las funciones más importantes que desempeñan estas moléculas son: reserva de energía, regulación de la temperatura del cuerpo y comunicación entre las células, algunos triglicéridos forman estructuras como el tejido adiposo y por último el transporte de las grasas mismas.


    Proteínas


    Están formadas por carbono, oxígeno, nitrógeno e hidrógeno, también pueden contener fósforo y azufre, y en menor proporción, hierro, cobre, magnesio y yodo. Se integran por una serie de componentes llamados aminoácidos, los cuales están unidos entre sí, a través un enlace peptídico, un tipo de enlace químico. Las proteínas se clasifican de acuerdo a la complejidad de su estructura química, dando como resultado 4 estructuras básicas: primaria, secundaria, terciaria y cuaternaria.


    Las funciones de las proteínas son diversas pero, las más importantes para los seres vivos son: formar diferentes estructuras en el cuerpo humano, generar movimiento en los músculos, acelerar o retardar reacciones químicas que suceden en nuestro cuerpo, mantener el equilibrio general del mismo, crear anticuerpos y traducir señales en impulsos químicos.


    Todas las moléculas de proteínas están formadas por un conjunto de 20 aminoácidos, biomoléculas con la fórmula estructural:


    Ácido nucléicos


    Son cadenas largas de moléculas pequeñas conocidas como polímeros; y que a su vez, están formadas por nucleótidos. Éstos están conformados por una pentosa (azúcar), una base nitrogenada y un fosfato; existen dos tipos de ácidos nucleicos: el ADN (ácido desoxirribonucleico) y ARN (ácido ribonucleico), que se diferencian:


  • Por el glúcido (la pentosa es diferente en cada uno; ribosa en el ARN y desoxirribosa en el ADN).
  • Por las bases nitrogenadas: adenina, guanina, citosina y timina, en el ADN; y adenina, guanina, citosina y uracilo, en el ARN.
  • Por las cadenas: el ADN tiene doble cadena, y el ARN tiene solo una cadena.

  • Funciones de las biomoléculas


    Las principales funciones de las biomoléculas son:


  • Conforman la materia empleada por las células que, posteriormente forman los tejidos, órganos y demás estructuras necesarias para la existencia de seres vivos.
  • La deficiencia de las biomoléculas genera problemas de salud y enfermedades.
  • Libera energía a través de los glúcidos.
  • Permiten la construcción de enlaces múltiples de elementos.
  • Transportan nutrientes y otro tipo de sustancias.
  • Controlan el correcto funcionamiento de los organismos vivos.
  • Contienen información genética, gracias a los ácidos nucleicos, que será heredada por cada organismo.

  • Para más información, haga clic sobre los siguientes enlaces:

    //n9.cl/ywxrw
    //n9.cl/styqw
    //n9.cl/hc8af
    //n9.cl/wb1y0